Научный журнал
Международный журнал прикладных и фундаментальных исследований
ISSN 1996-3955
ИФ РИНЦ = 0,556

СИНТЕЗ И ИССЛЕДОВАНИЕ ФАРМАКОЛОГИЧЕСКОЙ АКТИВНОСТИ IN SILICO НОВЫХ N-(2-БЕНЗИЛОКСИ-2-ОКСОЭТИЛ) ПРОИЗВОДНЫХ АЗОТСОДЕРЖАЩИХ ГЕТЕРОЦИКЛИЧЕСКИХ СОЕДИНЕНИЙ

Тимофеева Ю.А. 1 Покровская Ю.С. 1 Финагеева М.О. 1 Кузьминов О.В. 1
1 Федеральное государственное бюджетное образовательное учреждение высшего образования «Волгоградский государственный медицинский университет» Министерства здравоохранения Российской Федерации
Тимофеева Ю.А. - проведение исследования, написание рукописи – рецензирование и редактирование
Покровская Ю.С. - предоставление ресурсов, валидация результатов
Финагеева М.О. - проведение исследования
Кузьминов О.В. - разработка концепции, работа с данными, научное руководство
Целенаправленный поиск и создание новых соединений с заданной фармакологической активностью остаются актуальнейшей задачей в области медицинской химии. Представляет существенный интерес синтез и прогностическая оценка in silico фармакологического потенциала новых N-замещенных сложноэфирных производных азотсодержащих гетероциклов. Синтез целевых соединений осуществляли двумя методами: классическим N-алкилированием гетероциклов бензилбромацетатом в среде диметилформамида (бензимидазол, 2-оксибензимидазол, бензотриазол, аденин) и методом «сплавления» триметилсилилпроизводных с бензилбромацетатом (урацил, тимин, хиназолин-2,4(1H,3H)-дион). Структура соединений подтверждена с помощью методов ядерного магнитного резонанса: ¹H и ¹³C-спектроскопии. Прогноз фармакологической активности выполнен с использованием современного интеллектуального веб-сервиса PASS Online, который оценивает вероятности биологических эффектов на основе анализа молекулярной структуры. Синтезирован ряд новых соединений с удовлетворительными выходами. Вычислительный прогноз для ключевого производного, 1-(2-бензилокси-2-оксоэтил)бензотриазола, показал высокую вероятность ингибирующей активности в отношении тимидинкиназы, а также ингибирования других оксиредуктаз (никотинамидадениндинуклеотидфосфат-пероксидазы, фталат-4,5-диоксигеназы), что может косвенно указывать на противоопухолевый потенциал соединений ряда. Полученный спектр предполагаемой активности позволяет рассматривать сложноэфирные производные гетероциклов и его аналоги в качестве перспективных кандидатов для дальнейшего углублённого экспериментального изучения in vitro в качестве потенциальных противоопухолевых агентов.
N-алкилирование
азотсодержащий гетероцикл
фармакологическая активность
PASS Online
1. Спасов А.А., Муравьева В.Ю., Гурова Н.А., Чепляева Н.И., Резников Е.В., Анисимова В.А. Нейропротекторные свойства нового ингибитора Na+/H+-обменника соединения РУ-1355 на модели фокальной ишемии у крыс // Экспериментальная и клиническая фармакология 2016. Т. 79. № 4. С. 3-7. URL: http://ekf.folium.ru/index.php/ekf/article/view/1768 (дата обращения: 15.11.2025). DOI: 10.30906/0869-2092-2016-79-4-3-7.
2. Spasov A., Ozerov A., Vassiliev P., Kosolapov V., Gurova N., Kucheryavenko A., Naumenko L., Babkov D., Sirotenko V., Taran A., Litvinov R., Borisov A., Klochkov V., Merezhkina D., Miroshnikov M., Uskov G., Ovsyankina N. Synthesis and multifaced pharmacological activity of novel quinazoline NHE-1 inhibitors // Scientific Reports. 2021. Vol. 11. Article 24380. URL: https://www.nature.com/articles/s41598-021-03722-w (дата обращения: 15.11.2025). DOI: 10.1038/s41598-021-03722-w.
3. Pedersen S.F., Counillon L. The SLC9A-C Mammalian Na+/H+ exchanger family: molecules, mechanisms, and physiology // Physiological Reviews. 2019. Vol. 99. № 4. P. 2015-2113. URL: https://researchprofiles.ku.dk/en/publications/the-slc9a-c-mammalian-nasupsuphsup-sup-exchanger-family-molecules-/ (дата обращения: 15.11.2025). DOI: 10.1152/physrev.00028.2018.
4. Yeves A.M., Ennis I.L. Na+/H+ exchanger and cardiac hypertrophy // Hipertens Riesgo Vascular. 2020. Vol. 37. No. 1. P. 22-32. URL: https://pubmed.ncbi.nlm.nih.gov/31601481/ (дата обращения: 17.11.2025). DOI: 10.1016/j.hipert.2019.09.002.
5. Салах Х.А.Б., Ясенявская А.Л., Цибизова А.А., Тюренков И.Н., Озеров А.А., Самотруева М.А. Оценка противомикробной активности пиримидинового соединения в отношении Klebsiella pneumoniae // Антибиотики и химиотерапия. 2023. Т. 68. № 1-2. С. 22-26. URL: https://www.antibiotics-chemotherapy.ru/jour/article/view/1000 (дата обращения: 15.11.2025).
6. Самотруева М.А., Цибизова А.А., Габитова Н.М., Озеров А.А., Тюренков И.Н. Противомикробная активность нового производного хиназолина VMA-13-03 // Экспериментальная и клиническая фармакология. 2020. Т. 83. №. 8. С. 24-28. URL: https://ekf.folium.ru/index.php/ekf/article/view/2672 (дата обращения: 12.11.2025).
7. Цибизова А.А., Ясенявская А.Л., Озеров А.А., Самотруева М.А., Тюренков И.Н. Оценка острой токсичности нового пиримидинового производного // Астраханский медицинский журнал. 2021. Т. 16. № 1. С. 82-87. URL: https://www.astmedj.ru/jour/article/view/116 (дата обращения: 18.11.2025).
8. Курочкин Н.Н., Тараров В.И., Дреничев М.С., Михайлов С.Н. Региоселективное алкилирование урацила и его производных // Современные проблемы науки и образования. 2012. № 5. URL: https://science-education.ru/ru/article/view?id=7040 (дата обращения: 16.11.2025).
9. Korolev S.P., Shulepova A.A., Anisenko A.N., Galkin S.O., Alexandrova L.A., Jasko M.V., Matyugina E.S., Novikov M.S., Khandazhinskaya A.L., Kochetkov S.N., Gottikh M.V. Dual-reported SARS-COV-2 replicon for screening viral polymerase inhibitors // Biochemistry. 2024. Vol. 89. № 11. P. 2037-2050. URL: https://pubmed.ncbi.nlm.nih.gov/39647831/ (дата обращения: 15.11.2025). DOI: 10.1134/s0006297924110166.
10. Novikov M.S., Paramonova M.P., Kirillov I.V., Smirnova O.A., Khandazhinskaya A.L., Chizhov A.O., Kochetkov S.N., Ivanov A.V., Fedyakina I.F. New N1-(4-aryloxybenzyl)uracils containing N3-positioned 4-(trimethylenoxy)benzoic acid moiety, and study of their antiviral activity against SARS-COV-2 and influenza virus // Mendeleev Communications. 2023. Vol. 33. № 4. P. 537-538. URL: https://www.sciencedirect.com/science/article/abs/pii/S095994362300202X (дата обращения: 15.11.2025). DOI: 10.1016/j.mencom.2023.06.031.
11. Ozerov A., Novikov M., Khandazhinskaya A., Solyev P. Selective N1-alkylation of 1,3-dibenzoyluracils: one-pot way to N1-monosubstituted uracil derivatives // Heterocycles. 2017. Vol. 94. № 5. P. 912-922. URL: https://triggered.stanford.clockss.org/ServeContent? (дата обращения: 17.11.2025). DOI: 10.3987%2Fcom-17-13696.
12. Кезин В.А., Матюгина Е.С., Суржиков С.А., Новиков М.С., Маслова А.А., Карпенко И.Л., Иванов А.В., Кочетков С.Н., Хандажинская А.Л. Оценка цитотоксичности производных 5-ариламиноурацилов // Молекулярная биология. 2024. Т. 58. № 2. С. 325-332. URL: https://journals.eco-vector.com/0026-8984/article/view/655336 (дата обращения: 15.11.2025).
13. Новиков М.С., Озеров А.А. Силильный метод синтеза 1-[2-(фенокси)этил]урацилов // Химия гетероциклических соединений. 2005. № 7. С. 1071-1075. URL: http://5.179.29.131/index.php/hgs/article/view/8255 (дата обращения: 12.11.2025). DOI: 10.1007/8255.
14. Saldívar-González F.I., Aldas-Bulos V.D., Medina-Franco J.L., Plisson F. Natural product drug discovery in the artificial intelligence era // Chemical Science. 2022. Vol. 13. No. 6. P. 1526-1546. URL: https://pubs.rsc.org/en/content/articlehtml/2022/sc/d1sc04471k (дата обращения: 15.11.2025). DOI: 10.1039/D1SC04471K.
15. Парилова Н.К., Сергеева Н.С., Тюрина Н.Г., Павлова О.А., Маршутина Н.В., Солохина М.П. Сывороточные уровни тимидинкиназы-1 у больных с лимфопролиферативными заболеваниями // Онкология. Журнал им. П.А. Герцена. 2012. Т. 1. № 1. С. 33‑38. URL: https://www.mediasphera.ru/issues/onkologiya-zhurnal-im-p-a-gertsena/2012/1/031028-9984201217 (дата обращения: 14.11.2025).

Введение

Сложноэфирные производные азотсодержащих гетероциклических соединений представляют собой ценные синтоны для получения разнообразных фармакологически активных веществ. Высокая реакционная способность сложноэфирной группы по отношению к нуклеофильным агентам позволяет легко получать на их основе соединения амидного типа. В настоящее время на основе сложноэфирных производных пиримидиновых соединений осуществляется направленный синтез веществ, содержащих линейные и циклические гуанидиновые фрагменты в своей структуре. Соединения указанного типа проявили себя в качестве высокоэффективных ингибиторов натрий-водородного обменника первого типа (NHE-1) [1; 2]. Подобные соединения, содержащие фрагменты гуанидина в своей структуре, рассматриваются как потенциальные нейро- и кардиопротекторные лекарственные средства [3; 4].

Однако самостоятельная фармакологическая активность указанных промежуточных сложноэфирных производных азотсодержащих гетероциклических соединений исследована в недостаточной степени, и имеются лишь отдельные публикации на эту тему. В частности, описан 1-(2-бензилокси-2-оксоэтил)хиназолин-4(3Н)-он (1) (рис. 1), содержащий фрагмент бензилацетата в качестве заместителя в положении N3 и проявивший высокую активность в отношении золотистого стафилококка и ряда других возбудителей бактериальных инфекций in vitro [5; 6] при низкой острой токсичности in vivo [7].

Рис. 1. 1-(2-Бензилокси-2-оксоэтил)хиназолин-4(3Н)-он Примечание: составлено авторами на основе источников [5; 6]

В связи с этим представляет существенный интерес синтез и прогностическое исследование in silico фармакологической активности других гетероциклических производных с аналогичным характером замещения при атомах азота.

Цели исследования – проведение направленного синтеза новых N-замещенных сложноэфирных производных азотсодержащих гетероциклических соединений и последующая прогностическая оценка их фармакологического потенциала с использованием методов in silico для выявления возможной биологической активности, в том числе противоопухолевой.

Материалы и методы исследования

Синтез целевых соединений осуществляли двумя методами:

1. Классическое N-алкилирование гетероциклов (бензимидазол, 2-оксибензимидазол, бензотриазол, аденин) бензилбромацетатом в среде диметилформамида в присутствии калия карбоната при комнатной температуре.

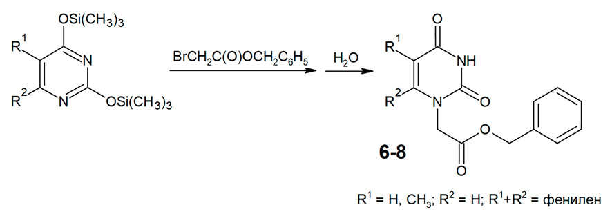
2. Метод «сплавления» триметилсилилпроизводных урацила, тимина и хиназолин-2,4(1H,3H)-диона с бензилбромацетатом при нагревании без растворителя (140–180°C) с удалением летучих продуктов в вакууме.

Структура синтезированных соединений подтверждена методами ЯМР-спектроскопии (¹H и ¹³C) на спектрометре Bruker Avance 600 в ДМСО-d₆.

Температуры плавления определены в капиллярах на приборе Mel-Temp 3.0.

Контроль чистоты проводили методом тонкослойной хроматографии на пластинах Silica gel 60 F₂₅₄.

Прогноз выполнен с использованием веб-сервиса PASS Online, который оценивает вероятности биологических эффектов на основе анализа молекулярной структуры.

Результаты исследований и их обсуждение

Наиболее простым и удобным «классическим» методом N-алкилирования азотсодержащих гетероциклических соединений является их взаимодействие с соответствующим алкилирующим агентом в среде безводного диметилформамида при наличии калия карбоната, при температуре 20-25 °С [8]. Этот метод широко используется в тех случаях, когда N-алкилирование не сопровождается образованием изомерных продуктов. Авторами обнаружено, что N-алкилирование бензимидазола, 2-оксибензимидазола и бензотриазола бензилбромацетатом в указанных условиях приводит исключительно к N1-замещенным производным, а в случае аденина единственным направлением реакции является N9-замещение с удовлетворительным выходом целевых продуктов (36-48%) (рис. 2).

Рис. 2. Алкилирование бензимидазола, 2-оксибензимидазола, бензотриазола и аденина бензилбромацетатом Примечание: составлено авторами на основе полученных данных в ходе исследования

Рис. 3. Алкилирование триметилсилилпроизводных урацила, тимина и хиназолин-2,4(1Н,3Н)-диона бензилбромацетатом Примечание: составлено авторами на основе полученных данных в ходе исследования

Алкилирование урацила и его производных в идентичных условиях приводит к смеси N1-моно- и N1,N3-дизамещенных производных, разделение которых часто бывает малоэффективным. Особенно осложнено N-алкилирование производных урацила, содержащих заместители в положении 6 пиримидиновой системы, в том числе хиназолин-2,4(1Н,3Н)-диона, что приводит к стерическим затруднениям процессов алкилирования в положении N1 [9]. В связи с этим для повышения региоселективности N-алкилирования в среде диметилформамида при наличии калия карбоната используются иные субстраты, в частности N1,N3-дибензоилпроизводные пиримидиновых оснований [10; 11]. Также для селективного получения N1-монозамещенных производных урацила широко применяется модифицированный метод Гилберта – Джонсона, основанный на использовании триметилсилилпроизводных урацила и его аналогов в качестве субстратов [12]. Недостатком этого метода является то, что в нем могут быть использованы только алкилирующие агенты с высокой реакционной способностью, например альфа-галоидэфиры. Сложные эфиры бромуксусной кислоты обладают значительно более низкой реакционной способностью по сравнению с альфа-галоидэфирами, в связи с чем их применение в обычных условиях этого метода (неполярная или малополярная среда, комнатная температура) не приводит к ожидаемым результатам. Ранее авторами была разработана оригинальная модификация метода Гилберта – Джонсона, существенно расширившая ряд используемых алкилирующих агентов. Сущность этого метода «сплавления» заключается во взаимодействии триметилсилилпроизводных урацила с такими алкилирующими агентами, обладающими средней реакционной способностью, как 1-бром-2-феноксиэтаны или сложные эфиры альфа-галогенкарбоновых кислот, при нагревании без растворителя при температуре 140-180 °С с удалением образующегося триметилхлорсилана или триметилбромсилана в вакууме [13]. В настоящем исследовании авторы использовали триметилсилилпроизводные урацила, тимина и хиназолин-2,4(1Н,3Н)-диона, выход целевых продуктов составил 50-68% (рис. 3).

Экспериментальная часть

Спектры ЯМР полученных соединений регистрировали на спектрометре Bruker Avance 600 (600 МГц для 1H и 150 МГц для 13C) в ДМСО-d6, внутренний стандарт – тетраметилсилан. Тонкослойная хроматография выполнена на пластинах TLC Silica gel 60 F254 с последующим проявлением в УФ-свете. Определение температуры плавления проводили в стеклянных капиллярах с помощью прибора Mel-Temp 3.0 (Laboratory Devices Inc., США).

Синтез N-замещенных сложноэфирных производных азотсодержащих гетероциклических соединений «классическим» методом

Соответствующий азотсодержащий гетероцикл (0,016 моль) и 3,5 г (0,024 моль) тонко измельченного калия карбоната перемешивают 30 мин. в 40 мл безводного ДМФА при комнатной температуре, добавляют 3,0 г (0,018 моль) бензилбромацетата и перемешивают при той же температуре в течение 48 ч. Фильтруют, фильтрат упаривают в вакууме, остаток растирают с 50 мл воды и выдерживают при температуре 0-5 °С в течение суток. Образовавшийся осадок отфильтровывают, промывают водой, сушат на воздухе и кристаллизуют из подходящего растворителя.

1-(2-Бензилокси-2-оксоэтил)бензимидазол (2). Выход 42%, Т. пл. 122-124 °С. Спектр ЯМР 1Н, δ, м. д.: 5,23 с (2Н, NСН2); 5,37 с (2Н, OСН2); 7,23-7,30 м (1Н, J = 7 Гц, Н5); 7,32-7,41 м (6Н, Н6, фенил); 7,57 д (1Н, J = 7 Гц, Н7); 7,72 д (1Н, J = 7 Гц, Н4); 8,27 с (1Н, Н2). Спектр ЯМР, 13С, δ, м. д.: 45,87; 67,07; 110,93; 119,94; 122,19; 123,01; 128,50; 128,71; 129,93; 134,77; 136,00; 143,68; 145,19; 168,77.

1-(2-Бензилокси-2-оксоэтил)-2-оксибензимидазол (3). Выход 36%, Т. пл. 106-110 °С. Спектр ЯМР 1Н, δ, м. д.: 4,84 с (2H, NCH2); 5,19 с (2H, OCH2); 7,07-7,09 м (2H, H5, H6); 7,19-7,21 м (2H, H4, H7); 7,32-7,37 м (5H, фенил). Спектр ЯМР 13С, δ, м. д.: 40,01; 42,51; 66,94; 108,87; 121,90; 128,39; 128,91; 129,38; 136,03; 153,92; 168,45.

1-(2-Бензилокси-2-оксоэтил)бензотриазол (4). Выход 40%, Т. пл. 105-109 °С. Спектр ЯМР 1H, δ, м. д.: 5,22 с (2H, NCH2); 5,88 с (2H, OCH2); 7,32-7,37 м (5H, фенил); 7,42 д (1H, J = 8 Гц, H4); 7,56 т (1H, J = 7,5 Гц, H6); 7.86 т (1H, J = 7,5 Гц, H5); 8,07 д (1H, J = 8 Гц, H7). Спектр ЯМР 13С, δ, м. д.: 40,01; 49,06; 67,32; 111,20; 119,63; 124,57; 128,06; 128,50; 128,92; 133,99; 135,81; 145,56; 167,74.

9-(2-Бензилокси-2-оксоэтил)аденин (5). Выход 48%, Т. пл. 218-219 °С. Спектр ЯМР 1Н, δ, м. д. :5,17 с (2Н, NСН2); 5,21 с (2Н, OСН2); 7,30-7,40 м (7Н, NH2, фенил); 8,16 с (1Н, Н8), 8,17 с (1Н, Н2). Спектр ЯМР, 13С, δ, м. д.: 43,96; 66,63; 118,27; 127,98; 128,21; 128,42; 135,39; 141,25; 149,73; 153,66; 155,97; 167,89.

Синтез N-замещенных сложноэфирных производных азотсодержащих гетероциклических соединений методом «сплавления»

Соответствующий азотсодержащий гетероцикл (0,016 моль) и 0,05 г аммония хлорида кипятят в 50 мл гексаметилдисилазана до образования прозрачного раствора. В ряде случаев, например при силилировании хиназолин-2,4(1Н,3Н)-диона, реакция силилирования протекает медленно и требует кипячения исходных реагентов в течение многих суток. Добавление 10 мл O,N-бис(триметилсилил)ацетамида, как более эффективного силилирующего агента, позволяет сократить длительность этого процесса до нескольких часов. Избыток гексаметилдисилазана удаляют в вакууме, к остатку добавляют 3,0 г (0,018 моль) бензилбромацетата и нагревают при температуре 160-165 °С в течение 2 ч при остаточном давлении 40-50 мм рт. ст. Охлаждают, добавляют 25 мл 95% этанола и 2 мл концентрированного аммония гидроксида и выдерживают при комнатной температуре в течение суток. Образовавшийся осадок отфильтровывают, промывают водой, сушат на воздухе и кристаллизуют из подходящего растворителя.

1-(2-Бензилокси-2-оксоэтил)урацил (6). Выход 56%, Т. пл. 196-200 °С. Спектр ЯМР-спектр, 1H, δ, м. д.: 4,59 с (2H, NCH2). 5,19 с (2H, OCH2); 5,61 д (1H, J = 8, H5); 7,32-7,39 м (5H, фенил); 7.63 д (1H, J = 8, H6);11,40 с (1H, NH). Спектр ЯМР 13C, δ, м. д.: 39,98; 49,13; 66,94; 101,61; 128,40; 128,93; 135,97; 146,28; 151,46; 164,19; 168,56.

1-(2-Бензилокси-2-оксоэтил)тимин (7). Выход 50%, Т. пл. 198-200 °С. Спектр ЯМР 1H, δ, м. д.: 1,75 с (3H, CH3); 4,55 с (2H, NCH2); 5,18 с (2H, OCH2); 7,33-7,37 м (5H, фенил); 7,51 с (1H, H6); 11,39 с (1H, NH). Спектр ЯМР 13C, δ, м. д.: 12,33; 39,99; 48,94; 66,89; 109,12; 128,39; 128,92; 136,00; 141,98; 151,44; 164,75; 168,65.

Расчетный спектр фармакологической активности 1-(2-бензилокси-2-оксоэтил)бензотриазола

Pa

Pi

Активность

0,764

0,010

Ингибитор АДФ-тимидинкиназы

0,729

0,022

Ингибитор НАДФ-пероксидазы

0,724

0,029

Ингибитор проницаемости мембран

0,709

0,033

Ингибитор D-глюкозилфосфадитолинозинфосфолипазы

0,681

0,018

Ингибитор фталат-4,5-диоксигеназы

0,655

0,012

Ингибитор митохондриальной пептидазы

0,665

0,024

Ингибитор эндо-1,6-бета-глюкозидазы

0,651

0,029

Ингибитор сфинганинкиназы

0,618

0,018

Ингибитор креатининазы

Примечание: Pa – вероятность (0-1) наличия активности; Pi – вероятность (0-1) отсутствия активности.

Составлено авторами на основе полученных данных в ходе исследования.

1-(2-Бензилокси-2-оксоэтил)хиназолин-2,4(1Н,3Н)-дион (8). Выход 68%, Т. пл. 233-236 °С. Спектр ЯМР 1Н, δ, м. д.: 5,00 с (2H, NCH2); 5,20 с (2H, OCH2); 7,29 т (1H, J = 8 Гц, H6); 7,34-7,37 м (6H, фенил, H8); 7,71 т (1H, J = 8 Гц, H7); 8,03 д (1H, J = 8 Гц, H5); 11,76 с (1H, NH). Спектр ЯМР 13С, δ, м. д.: 43,75; 66,51; 114,51; 115,43; 122,91; 127,60; 127,85; 128,13; 128,39; 135,31; 135,53; 140,83; 150,29; 161,63; 168,14.

Вычислительный прогноз фармакологической активности новых соединений был выполнен в ИИ-среде PASS Online [14]. Наиболее выраженной и таргетированной активностью среди всех синтезированных соединений, согласно прогнозу in silico, обладает 1-(2-бензилокси-2-оксоэтил)бензотриазол (4) (таблица). В таблице представлены прогнозируемые виды активности соединения 4, для которых разница между наличием и отсутствием вероятности активности составляет не менее 0,6.

Результаты прогноза свидетельствуют о том, что ведущим в спектре фармакологической активности новых соединений является ингибирование различных оксиредуктаз, что косвенно свидетельствует о вероятном наличии у них противоопухолевой активности [15]. Об этом же свидетельствует и потенциальная способность полученных веществ подавлять важнейшие пути клеточного метаболизма. Образцы всех синтезированных соединений переданы в Лабораторию клеточных технологий Научного центра инновационных лекарственных средств ВолгГМУ для тестирования in vitro.

Заключение

Синтезирован ряд соединений – сложноэфирных производных азотсодержащих гетероциклов, представляющих интерес в качестве потенциальных противоопухолевых лекарственных средств.


Конфликт интересов
Авторы заявляют об отсутствии конфликта интересов

Финансирование
Исследование выполнено в рамках Государственного задания Комитета здравоохранения Волгоградской области «Синтез новых ненуклеозидных ингибиторов вирусной репродукции на основе азотсодержащих гетероциклических соединений», регистрационный № АААА-А20-120070390057-0

Библиографическая ссылка

Тимофеева Ю.А., Покровская Ю.С., Финагеева М.О., Кузьминов О.В. СИНТЕЗ И ИССЛЕДОВАНИЕ ФАРМАКОЛОГИЧЕСКОЙ АКТИВНОСТИ IN SILICO НОВЫХ N-(2-БЕНЗИЛОКСИ-2-ОКСОЭТИЛ) ПРОИЗВОДНЫХ АЗОТСОДЕРЖАЩИХ ГЕТЕРОЦИКЛИЧЕСКИХ СОЕДИНЕНИЙ // Международный журнал прикладных и фундаментальных исследований. 2025. № 12. С. 42-47;
URL: https://applied-research.ru/ru/article/view?id=13779 (дата обращения: 05.05.2026).
DOI: https://doi.org/10.17513/mjpfi.13779